THE FASTEST & SAFEST TESTED REAR BOTTLE HOLDER ATTACHMENT. Science page

Controlled outdoor testing using the EZ Hydro-Gains “Independent tests carried out by Fast or Fiction with Tony and Adam”
EZ Hydro-Gains FAST or Fiction Testing
Outside totally independent tests carried out by Jim Manton from FAST or FICTION the riders Adam Harita & Tony Macias, EZ Gains had no idea these tests were being carried till the point when Jim contacted us and informed us of these amazing results.
The Fastest Bike Splits – Follow The Steps
The Fastest Set Up is a double 500ml /750ml Circular Bottles 0-6 Degree from level surface, with the bottles as close to the bum as possible, in general every test feedback has reported the closer to the bum the bottles are the faster it is. “so any systems with the bottles away from the bum are slower including any extra fins away from the back of the bike, any vertical bottles are slower, horizontal and close to the bum slightly lifted of the saddle has always tested faster. Also there is recent information in that a single bottle can test as fast as a double with a small athlete 70kg – but this has been very recent information and feedback.
Registered designs & trademarks® EU-UK Patent Pending USA-Triathlon & Time Trial Approved-ISO BSI Manufacture Regulated to the highest 3D Print Quality Standard

EZ Gains Dominates the PRO Field at Kona
EZ Gains — The Most Widely Used Aero Brand at the Ironman World Championships 🏆💨
With over one-third of the pro field using our products, EZ Gains is officially the most popular aero brand at this year’s championships! 🙌
This analysis — prepared by our qualified aerodynamics engineer, Josh Small — highlights the average time savings achievable at Ironman Kona using the EZ Hydro-Gains system.
The EZ Hydro-Gains was compared against setups with no rear bottle or a vertical/slightly angled bottle.
While gains may be smaller for athletes already using an advanced aero setup (similar to what Sam Laidlow previously used), even Sam now rides with the EZ Hydro-Gains for optimal performance 🚀
When it comes to speed, precision, and reliability — every watt and every second counts.

IRONMAN 70.3 WORLDS
Over 40% of the Pro Field at Ironman World Champs Marbella 🌍🏆
will be benefiting from the EZ Hydro-Gains system! 💨
This chart (prepared by our qualified aerodynamics engineer, Josh Small) shows the average time savings achievable at Ironman 70.3 Marbella using the EZ Hydro-Gains.
The comparison was made against setups with no rear bottle or a vertical/slightly angled bottle.
While gains may be smaller if you’re already using a more aerodynamic system — similar to what Sam Laidlow previously used — even he’s now upgraded to the EZ Hydro-Gains for maximum performance 🔥
When every second counts, aero precision and secure hydration make all the difference.
Third Party Pro Testing Double Bottle
Now with over 150 Pro’s and 2,000 age groupers using the EZ Hydro-Gains.
EZ Gains now had feedback from a mass of athlete’s who have tested against most of the systems known on the market, wind tunnel, velodrome, controlled outside, all with positive results.
Some of the Pro athlete’s we have had feedback from, Sam Laidlow, Jelle Green, Danielle Lewis, Steph Clutterbuck, Kristian Hogenhaug, Solveig Lovseth, Katrine Grasboll, Lucy Charles, Danille Lewis, Chelsea Sodaro endless feedback !!

Independent Tests & Reports
EZ Gains are using this area to help log shared testing from athletes, this is to help give a wide scope of test results, obviously most pro athletes do not share any data so this mainly will consist of amateur’s controlled testing following the recommended protocols of how to setup your EZ Hydro-Gains

Test Day 13/05/2025 Single Bottle
Our test rider was Head Coach of Greenlight PT, Adam Gibson.
Here’s what he had to say…
“It was an exciting day being asked to help test a new prototype rear bottle holder for EZ Gains. Me and Dave (Elysium Race Team) headed down to the renowned Silverstone Sports Engineering Hub to put the product through its paces.
It was my first time in a wind tunnel and after a brief setup and explanation of what was required, we got going. All I had to do was ride at 85 cadence and hold the exact same position within the green lines for an hour or so while Dave swapped on different bottle holders and changed the setup slightly. Sounds easy right?! Far from it. But after an hour of testing, and with very achy shoulders by the end, I was complimented on how good I was at holding the exact same position. This meant we had a really clean set of data to see any changes in drag.
The results were pretty significant with the EZ Hydro-Gains product testing faster than my baseline (no product) and also much faster than a competitor product! Really good news for EZ Gains and I am sure when this comes to market plenty of people will be taking up.”
The test was done totally independently by the head coach at Greenlight PT Adam who is a well-respected coach for some years, and was the allocated rider. Adam held his position perfectly and was overseen by the Aero Engineer at Silverstone Wind Tunnel.
Dave from Elysium Racing – a well-respected group of elite TT riders – conducted and organised the runs.
I did expect the EZ Hydro-Gains to be slightly faster, I was shocked to see how much faster and would be happy to say with the limited options on the market, that this is probably the fastest rear bottle cage holder that actually holds hydration on the market and has already created a massive backlog of orders, not only for Triathletes but Time Trialists as well.
Features & Benefits of EZ Hydro-Gains :
- Faster than no bottle and standard rear hydration setups.
- Manufactured for your seat – best fitting, will not move about.
- Securely holds bottle – added elastic pull for added security.
- Race number area.
- Double bottle mount available.
- Bottle position movement 0–15 degrees.
- Bottle position movement back and forward.
- Securely holds your hydration as well as adding extra watts.
- Probably the fastest rear hydration system available.
- A great marker point for optimal position on seat
- Ironman and World Triathlon Legal
- 22cm x 9 cm
- 150g
- Ironman, World Triathlon, German Rules Legal
EZ Hydro-Gains Silverstone Wind Tunnel Single Bottle
Loads of other seats coming soon.
This has been a quest to develop the Ultimate rear bottle holder that not only holds your hydration without it flying out, it makes you faster as well with a lot of extra features and benefits.

Time Savings Single Bottle
Over 2 minutes at all speeds using the EZ Hydro-Gains Rear Bottle Holder, you are on the course longer at lower speeds, so even though the watts gains are not as high, the time gains are the same.
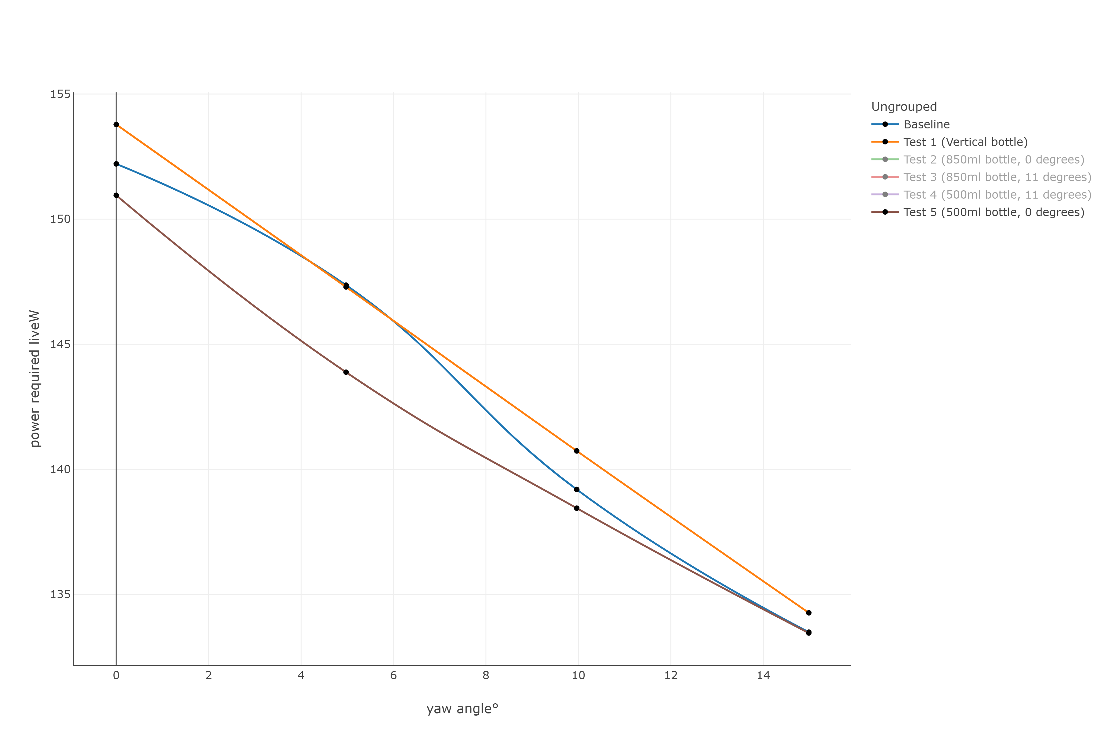
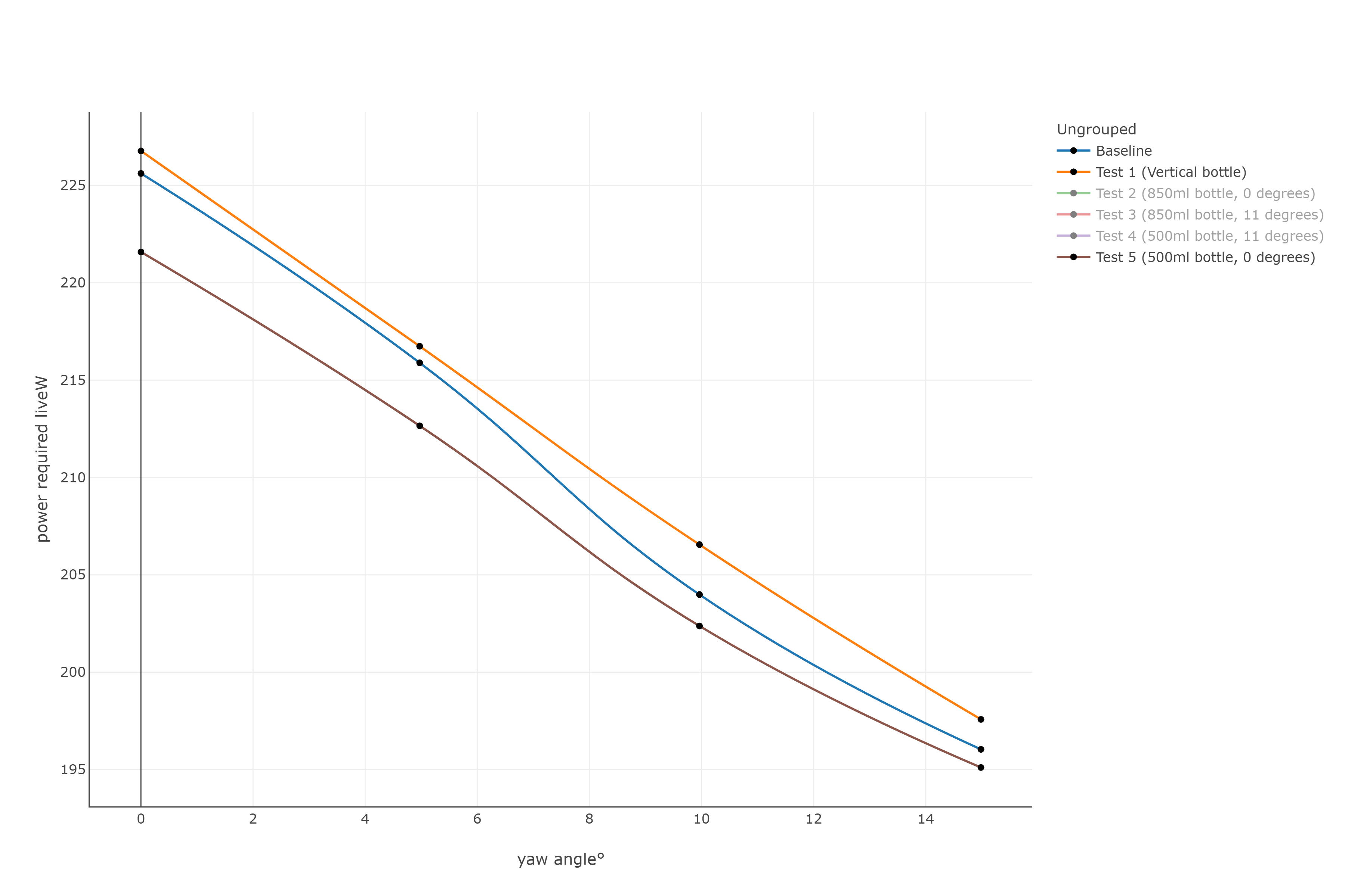
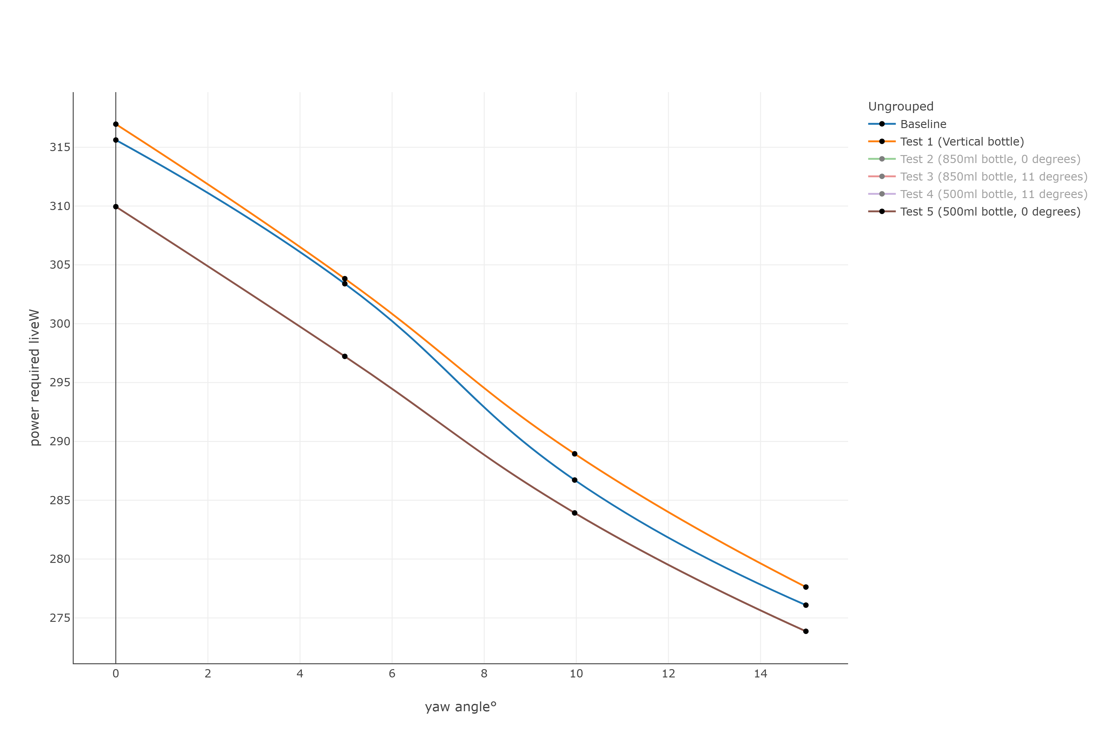
Watt Savings with EZ Hydro-Gain Single Bottle
Testing Protocol: Most of a race you will be cycling at 0/5 YAW angle. YAW is the angle of the wind. We only needed to test on one side as both sides of the EZ Hydro-Gains are the same.
35kph, 40kph, 45kph – YAW 0, 5, 10, 15 EZ Hydro-Gains vs No rear hydration cage / Standard Triathlon setup rear hydration: Baseline Blue – No Bottle Standard Rear Bottle Cage – Orange EZ Hydro-Gains – Brown
Single Bottle
THE HISTORY OF TESTING
For some of our previous tests which we published go to Latest News. EZ Gains have tested many rear bottle setups over the years but have not published all the tests due to time “We will be going through previous tests and adding these”, we never found that any other conventional bottle position gave a significant advantage until the Hydro-Gains:
Latest News
The safest bottle holder system, “bump tested ” this is due to the positioning of the cage, its a lot easier for a bottle to fly out of a vertical holder system rather then a horizontal system due to the force it takes to take a bottle out from the side, its almost impossible.
Weight testing to 33lb of weight and they still held firm, over 600,000 kilometres of road testing with 750ml bottles.
Also EZ Gains individually make the saddle clamps “and exceeded some existing clamps” for each seat giving you an exact fit rather then a universal clamp which will never exactly fit your saddle.
Another main factor is, the athletes do not need to lean as far back to grab there hydration, thus giving them more control of there bike when hydrating and exchanging bottles.
“Ironman Triathlon and World Triathlon have confirmed that EZ Hydro-Gains is legal to use in draft–illegal races and conforms to safety standards set out (BSI -ISO9001-ISO14001 5.03 Ironman (World Triathlon) exceeding the standards of a reputable safety standards organization (such as CPSC, ISO, or other equally reputable safety standards organizations)”




























